您所在的位置:首页 - 通知公告

通知公告

关于学科教学(英语)研究生复试综合面试小组间分数平衡办法的说明

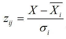
2020年公司学科教学(英语)研究生第一志愿上线和要求调剂的人数较多,综合面试均分两组进行。为克服组间评分的系统误差,用以下方法进行组间分数平衡。

        1)先计算考生在各组的标准分Zij

           图片.png

          图片.png

        2)将标准分转换为T分,计为考生的综合面试得分。

            图片.png

           图片.png

                                                                                    

                                                                                                                                         

               永利3044noc

                                              20205